Торговые рекомендации по Эфиру(Ethereum) на 12 ноября по системе ICT.
FxSignal Сегодня, 08:45 0 Аналитика, прогнозы валютного рынка
Эфир в начале новой недели продолжает корректироваться. В понедельник многие эксперты испытали прилив оптимизма, так как Дональд Трамп сообщил о завершении «шатдауна» в США. Однако уже во вторник биткоин летел вниз, а вместе с ним и эфир. Мы говорили о том, что по обеим главным криптовалютам были сформированы практически идентичные «медвежьи» FVG. Вчера на оба этих паттерна была получена реакция со сломом локальной восходящей структуры на часовом ТФ... Таким образом, трейдеры уже имели основания для открытия коротких позиций. Биткоин продолжает смотреть вниз, на дневном ТФ ни у него, ни у эфира нет новых «бычьих» паттернов. Есть только паттерны, которые были сформированы на прошлом тренде, но они служат лишь для идентификации областей паузы. В начале прошлой недели на рынке произошел второй значимый обвал за последнее время. Мы говорили, что наиболее логичным вариантом развития событий будет небольшая коррекция. На дневном ТФ отлично видно, что в ходе последнего витка падения был отработан второй «бычий» FVG, который был сформирован в рамках последнего восходящего тренда. Этот FVG и остановил падение, но вряд ли приведет к его завершению. Структура по эфиру уже несколько месяцев нисходящая. А на нисходящем тренде следует ожидать падения, до тех пор, пока не начнут появляться «бычьи» паттерны или другие признаки, свидетельствующие о завершении тенденции.
Новость предоставлена компанией
Поделитесь с друзьями полезной информацией. И они Вам скажут спасибо :)
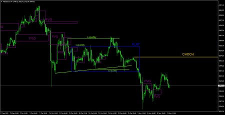
Анализ ETH/USD 1D.
Эфир на дневном ТФ продолжает формирование новой нисходящей тенденции. В ходе обвала в «черную пятницу» был отработан один из последних «бычьих» FVG, а в ходе «черного вторника» был отработан следующий «бычий» FVG. В ходе двухдневного обвала на прошлой неделе сформирован новый «медвежий» FVG, который является ближайшей актуальной областью POI на продажу. Вчера на этот паттерн была получена реакция цены с подтверждением на часовом ТФ. Таким образом, уже в ближайшее время падение может продолжиться с целью следующий «бычий» FVG с предыдущего тренда.Анализ ETH/USD 4Н.
На 4-часовом таймфрейме сохраняется нисходящая тенденция. Так как последнее падение было сильным, в его рамках сформировано большое количество «медвежьих» FVG. Мы считаем, что в ходе такого сильного движения лучше рассматривать старшие ТФ для выявления областей POI на продажу. На недельном у нас остается актуальным «медвежий» Order-block, а на дневном ТФ сформировался «медвежий» FVG. На эти два паттерна лучше всего ориентироваться в ближайшее время. На 4-часовом ТФ у нас имеется слабо отработанный «медвежий» FVG и «бычий» FVG, от которого последовала реакция и новый рост. Однако на дневном ТФ цена получила реакцию на «медвежий» паттерн, поэтому падение может возобновиться.Рекомендации по торговле ETH/USD:
На дневном и 4-часовом ТФ продолжает формирование нисходящая тенденция. Ключевым паттерном на продажу выступал и выступает «медвежий» Order-block на недельном ТФ. Движение, спровоцированное этим сигналом, должно быть сильным и длительным. Таким образом, сейчас трейдерам следует искать новые возможности для открытия новых коротких позиций. Мы считаем, что наиболее целесообразно это делать на дневном ТФ, а там единственной областью POI выступает «медвежий» FVG, который уже был отработан. Целью падения может выступать следующий неотработанный «бычий» FVG – 2 740$.Пояснения к иллюстрациям:
CHOCH – слом трендовой структуры. Liquidity – Ликвидность, Stop Loss трейдеров, которые маркет-мейкеры используют для набора своих позиций. FVG – Область ценовой неэффективности. Цена очень быстро проходит такие области, что указывает на полное отсутствие одной из сторон на рынке. В последствии цена имеет свойство возвращаться и получать реакцию от таких областей. IFVG – Инвертированная область ценовой неэффективности. После возврата к такой области, цена не получает от нее реакцию, а импульсно пробивает, а затем тестирует ее с другой стороны. OB – Ордер-блок. Свеча, на которой маркет-мейкер открывал позицию с целью забора ликвидности для формирования собственной позиции в противоположном направлении. Материал предоставлен компанией InstaForex - www.instaforex.comНовость предоставлена компанией
Поделитесь с друзьями полезной информацией. И они Вам скажут спасибо :)
Похожие новости
Торговые рекомендации по Эфиру(Ethereum) на 10 ноября по системе ICT.
Эфир в начале новой недели начал отталкиваться от «дна». В начале прошлой недели на рынке произошел
10.11.25
Аналитика, прогнозы валютного рынка
Торговые рекомендации по Эфиру(Ethereum) на 7 ноября по системе ICT.
Эфир начал новую неделю с нового обвала и в данное время остается на своем локальном «дне». В
07.11.25
Аналитика, прогнозы валютного рынка
Торговые рекомендации по Эфиру(Ethereum) на 6 ноября по системе ICT.
Эфир начал новую неделю с нового обвала. В последнее время мы регулярно акцентировали внимание
06.11.25
Аналитика, прогнозы валютного рынка
Торговые рекомендации по Эфиру(Ethereum) на 8 ноября по системе ICT.
Эфир начал новую неделю с нового обвала и в данное время остается на своем локальном «дне». В
08.11.25
Аналитика, прогнозы валютного рынка
Торговые рекомендации по Эфиру(Ethereum) на 9 ноября по системе ICT.
Эфир начал текущую неделю с нового обвала и в данное время остается на своем локальном «дне». В
09.11.25
Аналитика, прогнозы валютного рынка
Информация
Посетители, находящиеся в группе Гости, не могут оставлять комментарии к данной публикации.
Посетители, находящиеся в группе Гости, не могут оставлять комментарии к данной публикации.











